½üÈÕ£¬×ÊÁÏѧԺÏȽøÄý¹Ì¼¼ÊõÖÐÐÄÍŶÓÔÚÈÈÁÑ×êÑз½Ãæ»ñµÃеĽøÕ¹£¬ÓйØ×êÑгɾÍÒÔ¡°Propagation mechanism and criteria of hot tearing in Fe-1.0 wt.%C binary alloy¡±ÎªÌâ°ä·¢ÔÚ¹¤³ÌʧЧÁìÓòѧÊõÆÚ¿¯Engineering Failure Analysis£¨ÖпÆÔº¹¤³Ì¼¼ÊõÀà2Çø£¬×ÊÁÏ¿ÆÑ§£º±íÕ÷Óë²âÊÔ1Çø£©¡£¸ÃÂÛÎĵÚһʵÏÖ±¨´ðËÕ³¿êØË¶Ê¿×êÑÐÉú£¬Ð±¦GGΪµÚÒ»×÷Õßµ¥Ôª£¬ÖÙºì¸Õ²©Ê¿¡¢µÔÆô½Ü½ÌÊÚΪͨѶ×÷Õߣ¬ºÏ×÷ÕßΪ¶«ÄÏ´óѧº«ÇàÓнÌÊÚ¡£

ÈÈÁÑÊÇÂ½ÐøÖý¸Ö¼°ÆäËü½ðÊôÄý¹Ì¹ý³ÌÖеij£¼ûȱµã£¬ÆäÕýÈ·Ô¤²â¶ÔÒ±½ð³ö²ú¼°ºÏ½ðÖýÔìµÈ¼«¶È³ÁÒª¡£µ«ÊÇ£¬Ä¿Ç°¶ÔÈÈÁѵÄ×êÑжà»ùÓÚþºÏ½ð¡¢ÂÁºÏ½ðµÅ×ÐÉ«ºÏ½ð£¬¶ÔÓÚ¸ÖµÄÈÈÁÑ×êÑÐÏà¶Ô½ÏÉÙ¡£¸Ã¹¤×÷ÒÔÈÈÁÑÆ«²îÑϳÁ¡¢ÓµÓеäÐÍ´Ö׳Ê÷Ö¦¾§×éÖ¯µÄFe-1.0 wt.%C¶þÔªºÏ½ðΪ×êÑжÔÏó£¬Ñ¡È¡¶¯Ì¬¼ÓÔØÄý¹ÌÁÑÎÆÈÈ·ÂÕÕÊÔÑé»ú£¬×êÑÐÁË·ÖÆçÓ¦±ä¿ìÂÊϸúϽðµÄÈÈÁÑÐγɹý³Ì¡£·¢ÏÖFe-1.0%C¶þÔªºÏ½ðµÄÁÙ½çÓ¦±ä¿ìÂÊÁìÓòÔÚ1.2¡Á10-4s-1-7.9¡Á10-5s-1Ö®¼ä£¬ÇÒÈÈÁÑÎÆÀ©´óµÄζȻò¹ÌÏàÂÊÓëÍŶÓÌá³öµÄÈÈÁÑÆ«²îÒò×Ó
´æÔÚµ¥µ÷º¯Êý¹ØÏµ£¬Åú×¢¸ÃÀíÂÛÒ²ÊÊÓÚFe-CºÏ½ð£¬¸Ã×êÑжԸß̼¸ÖÁ¬ÖýÁÑÎÆµÄÔ¤²âºÍÔ¤·ÀÓµÓÐÏÖʵÒâ˼¡£

¶¯Ì¬¼ÓÔØÄý¹ÌÁÑÎÆÈÈ·ÂÕÕÊÔÑé»úµÀÀíʾÒâͼ
Ê×ÏÈ£¬ÀûÓÃ×ÔÖ÷¿ª·¢µÄ¶¯Ì¬¼ÓÔØÄý¹ÌÁÑÎÆÈÈ·ÂÕÕÊÔÑé»ú£¬Í¨¹ý×Ô¶¯Ê©¼ÓÔØºÉ²¢¾«È·½ÚÔì¼ÓÔØ¿ìÂÊ£¬·ÂÕÕFe-1.0 wt.%C¶þÔªºÏ½ðµÄÈÈÁÑÐγɹý³Ì¡£ÔÚ´Ë»ù´¡ÉÏ£¬½áºÏÁ¦Ñ§ÇúÏß·ÖÎö¡¢½ðÏà×éÖ¯¹Û²ì¡¢¶Ï¿ÚÃèÄ¡ÆÀ¹À£¬ÒÔ¼°»ìºÏ´îÇÅÀíÂÛºÍÈÈÁÑÃô¸ÐÐÔÖ¸±ê£¬ÏµÍ³±íÕ÷ÁËFe-1.0 wt.%C¶þÔªºÏ½ðµÄÈÈÁÑÐÐΪ¡£×êÑв»½öÈ·¶¨Á˸úϽðµÄÁÙ½çÓ¦±ä¿ìÂÊÁìÓò£¬ÎªÌ¼¸ÖÈÈÁѵÄÔ¤²âÓ붨Á¿×êÑÐÌṩÁ˲ο¼£»»¹·ÖÎöÁË·ÖÆç³¢ÊÔ²ÎÊýÓëÍŶÓÌá³öµÄÈÈÁÑÆ«²îÒò×Ó
µÄ¹ØÏµÇúÏߣ¬Á˾ÖÏÔʾÇúÏßÄâºÏ¶ÈÓÅÁ¼£¬Åú×¢¸ÃÈÈÁÑÆ«²îÒò×ÓÔÚFe-1.0 wt.%C¶þÔªºÏ½ðÖÐÓµÓÐÈÈÁÑÔ¤²â¼ÛÖµ¡£

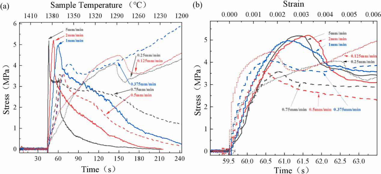
Êý¾Ýת»»ºóµÃµ½Ó¦Á¦-ÊÔÑùζÈÇúÏߺͳÌÓ¦Á¦-Ó¦±äÇúÏß

·ÖÆçÓ¦±ä¿ìÂÊÏÂ
ÓëÁÑÎÆ³õ´ÎÀ©´óζȼ°Æä¶ÔÓ¦µÄ¹ÌÏà·ÖÊýµÄ¹ØÏµ
¸Ã×êÑеõ½¹ú¶ÈÌìÈ»¿ÆÑ§»ù½ðºÍÁúÃų¢ÊÔÊÒÏîÖ÷ÕÅÔÞÖú¡£
ÎÄÕÂÁ´½Ó£ºhttps://www.sciencedirect.com/science/article/pii/S1350630725005710?via%3Dihub
https://authors.elsevier.com/a/1lKvc4p6GubZ6E£¨È«ÎÄÃâ·ÑÏÂÔØ40Ì죩